您現在的位置:中國農業儀器網 > 技術文章 > 區域農田土壤墑情監測與精量灌溉技術研究
區域農田土壤墑情監測與精量灌溉技術研究
來源: 本站 類別:技術文章 更新時間:2010-05-21 閱讀次
隨著我國節水灌溉規劃任務不斷深入,從國民經濟可持續發展的角度來考慮,當前進行的節水灌溉規劃任務是研究技術先進、經濟合理的各種工程措施、控制途徑和方法,減少灌溉水的無益損耗;在時間和空間上合理地分配水資源,并在田間推行科學的灌水決策與精量灌溉調控手段,以達到合理利用水資源,促進農業高效節水技術可持續發展。
作為新興的農業節水科技領域,在作物生長期對農田墑情的監測(農田墑情可以用土壤墑情與旱情監測儀或者無線墑情與旱情管理系統,這兩款儀器都能夠測定土壤水分的含量,當然如需要,還可以測定土壤溫度、水勢和電導率等等參數。)越來越受到重視。它綜合集成了專家知識和經驗,并通過計算機解決問題。農田土壤水分信息采集傳感器的GSM( Global System for Mobile Communications) 無線發射傳輸裝置和GSM 無線中心接收傳輸裝置結合系統灌溉決策支持軟件,完成對農田土壤進行墑情監測與精量灌溉決策,使農田灌溉達到高效率用水有了合理的科學依據。充分體現了節水農業領域區域農田土壤墑情GSM 網絡監測技術的創新優勢,尤其在區域化環境農田精量灌溉控制技術等方面,充分利用計算機自動控制技術深化節水農業各領域的研究,使相關學科之間相互滲透互相促進日趨明顯。
節水農業灌溉環境控制系統工程是眾多技術綜合和配套成體的系統技術成果,與國內外先進發達國家相比,我國在綜合技術系統方面存在著一定的差距和不足,應根據我國各地區不同的生態氣候條件和經濟發展水平,因地制宜地制定和發展我國的節水農業規劃和相應技術。其技術路線、系統軟件、應用軟件和硬件裝置盡量做到符合高通用性和兼容性,以適應不同類型的節水農業栽培環境控制系統使用。
1 區域農田墑情監測意義
我國水資源時空分布嚴重不平衡,81 %的水資源集中分布在長江流域及以南地區,長江以北地區人口和耕地分別占我國的45. 3 %和64. 1 % ,而水資源卻僅占全國的19 % ,人均占有量為517 m3 ,相當于全國人均量的1/5 和世界人均量的1/20 ,水資源與生產發展不相適應的程度突出,土地沙漠化趨勢日趨嚴重。尤其是西北干旱地區的新疆、青海等地的大面積戈壁灘,因無灌溉,也就沒有農業。降水年內分配不均,冬春少雨、夏秋多雨,汛期雨量過于集中,常以暴雨形式出現,利用難度很大,非汛期又水量缺乏。降水量年際變化大,豐水年與枯水年相差懸殊,使水旱災害頻頻發生,甚至同一地區有時旱澇接踵而至,交替成災。
從全國對水資源量總的需求來看,在出現中等干旱的情況下,全國總需水量為5 500 億m3 左右,缺水量約為250 億m3 。若考慮供水中的地下水超采和超標準污水直灌等不合理供水因素,則全國實際缺水量300~400 億m3 。農業是我國的用水大戶,約占全國總用水量的73 % ,但有效性很差,水資源浪費十分嚴重,渠灌區水的有效利用率40 % ,井灌區60 % ,每1 m3 水生產糧食不足1 kg。而一些發達國家水的有效利用率可達80 %以上,每1 m3 水生產糧食可達2 kg 以上,其中以色列達2. 32 kg。由此說明,我國各種節水農業技術的綜合應用程度低,與發達國家相比還存在著很大的差距。同時,也看到了在中國發展節水農業的巨大潛力和廣闊前景。
隨著土壤水分傳感器技術、GSM 通訊技術、GIS( Geograp hic information system) 技術等迅速發展和區域環境要素監測的需求增長,人們對移動目標監控的要求越來越高,不僅需要知道移動目標的位置,還需要對移動目標的反饋參數、報警信息、運行狀態等數據進行實時監控和處理。利用傳感器采集包括土壤水分,空氣溫度適度等環境要素,通過局域性的無線網絡將采集信息傳送到控制中心,作為中心控制系統實施大田作物自動灌溉的依據。上述區域環境監測網絡技術集成在其自動灌溉控制系統中有著極其重要的作用。研發的技術與產品在示范區應用后,在維持產量不變或提高的前提下,作物生育期內的灌溉定額比常規灌水條件下減少20 % ,水分利用效率提高25 %~30 %。
2 精量灌溉系統技術
利用GSM 網絡載體在田間采集土壤動態水分信息是田間采集的重要手段。信息收發裝置按內部設定的時間規律將采集到的土壤水勢動態參數通過GSM 網絡載體發送出去。上位巡測無線收發裝置(可以多個) 通過GSM 網絡載體將接收到的土壤水勢動態參數加工后傳給中心計算機。計算機將采集的信息處理后歸入計算機軟件監測與決策系統。系統根據土壤特征物理參數及相對種植作物,計算現場各灌溉區域的土壤含水量狀態、需灌溉水量。按灌溉面積和泵出水量計算出現場灌溉時間及灌溉水量時間周期預測。系統同時也對各灌溉區域的田間土壤水分信息采集收發裝置和上位巡測無線收發裝置的互動工作狀態進行同步監測 。如出現問題,計算機控制中心系統將及時對現場水勢傳感變送器、無線收發裝置的微處理器、上位巡測無線收發裝置,作出時間和系統糾正,形成一個穩定的土壤墑情監控遙測系統。農田墑情GSM 網絡監測與精量灌溉控制技術軟件系統能實現無線雙向數據通訊,灌溉決策和進行大面積多道灌溉程序控制,提高均勻度,實現生產過程量化控制 。
3 系統軟件
整個農田墑情GSM 監控系統中,軟件系統不僅能提供區域灌溉決策數據和相對應的精量自動控制模式,還預設了常用的控制模式。在一些對灌溉環境控制可靠性要求很高的應用中,還包括了軟件模塊熱備份,一些關鍵模塊在設計上有一個或多個備份,軟件或硬件系統出現問題時,可以通過特殊的軟件模塊自動切換到備份,從而保證了系統不間斷工作。系統包括七個部分: 平臺操作模塊; GSM 雙向通訊模塊;信息采集模塊;數據分析模塊;控制決策模塊;數據處理模塊;接口驅動模塊(圖1) 。

4 系統硬件
在精量灌溉系統控制硬件開發過程中,系統可控的范圍大,硬件的通用性、標準性和可擴展性是關鍵。研究開發先進的無線通訊收發裝置為大范圍區域灌溉群控提供了硬件基礎。由于灌溉區域遼闊,在中央控制室設有無線巡測中心通訊收發裝置,完成現場眾多土壤采集動態數據的空間傳輸 。整個硬件系統不僅做到無線網絡載體下的信息處理加工、安全信息管理,且系統各部分控制相對獨立。控制參數修改無線與在線便攜化,無太多的管線需要敷設和維護,系統具有一定程度上的容錯性能,局部的損壞不會影響整個系統的工作。
4. 1 系統硬件重要部件之一(埋入式土壤水分信息采集GSM 無線收發傳感變送裝置)
上位機通過串口連接無線巡測中心接收傳輸裝置,以GSM 網絡為載體的無線通信控制方式完成設計所要求的以雙向傳輸、多分支結構形式的區域農田墑情監測網絡環境監控。田間土壤水分采集傳感器通過微處理器完成底層區域灌溉的水分監測和無線通信控制。系統不僅做到在GSM 網絡載體下的信息處理加工、安全信息管理、安全碼檢測與調制、傳感器檢測、電源監測與雷擊保護,且系統各部分控制相對獨立。
水分采集模塊主要由DPA 轉換、電池管理和運算放大器組成。通訊控制主要器件是SIM 卡,E5111芯片內集成了TCPPIP 協議,通過專用接口與微處理器連接。每個土壤水分采集GSM 收發裝置均由獨立電池供電,正常工作時間大于3 年。
微處理器采用美國A TMEL 公司的A TMEGA128 器件。備用IPO 主要用于鍵盤、顯示接口,可作簡單的人機交流。顯示驅動電路主要用來顯示系統內部狀態。埋入式土壤水分信息采集GSM 無線收發裝置由以下部分組成,傳感器采集部分:供電(高穩定電壓) 、恒流控制、物理傳感器,主要是將土壤的含水量轉換成對應的電量;模數轉換部分:主要是低通濾波器、10 位數轉換以及基準電源組成;中央控制部分:微處理器用于對數據的處理及控制收發數據(包括發射單元內部信息:電池電量、校正時間) ;存儲器部分:主要是用于微處理器數據緩沖和存儲;電源部分:主要有高性能容量電池,充放電控制電路和電池檢測;通訊模塊部分: GSM 信號調制,天線;通訊擴展及串口部分:主要提供IPO 擴展和與上位機485 串口連接;雷擊保護部分:主要由專用快速吸收器件組成;外殼:主要作用是將傳感器信號發送出去(圖2) 。

4. 2 系統硬件重要部件之二
利用在山東禹城試驗站和河南封丘試驗站進行的土壤水分傳感器適應性分析得出以下分析數據:假設傳感器測量頻率的量程為0~50 kHz。在該量程范圍內,依據土壤水分傳感器的標定曲線,繪制各個傳感器的水勢2頻率曲線,按率定公式計算的水勢隨頻率的增加而增大(圖3) 。
分別利用禹城站土壤、封丘站土壤的水分特征曲線,將水勢轉換成土壤體積含水量。
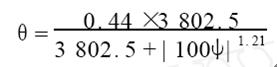
禹城站壤土的水分特征曲線:

其中θ為體積含水率(cm3/cm3 ) ,ψ為水勢(kPa) 。
封丘站土壤水分特征曲線:
θ= 0. 45p - 0. 2611
其中θ為體積含水率(cm3Pcm3 ) ,P 為土壤水勢(kPa) 。
繪制禹城站、封丘站土壤水勢-土壤含水量曲線(圖4) 。


5 系統通訊與精量灌溉驅動
根據區域農田土壤不同的土質和作物,采取合理分布埋入土壤中進行水分信息監測點采樣,由收發過程控制級和中心計算機控制決策級組成的一個以GSM 網絡為紐帶的集中監控而灌溉現場監測相對分散、配置靈活、組態方便、現場設備裝置隱蔽性強的具有高可靠性的實用系統。
SMS(Short Messaging Service) 短消息業務是GSM 網的一項增值業務,通過控制信道傳輸數據,支持點對點消息業務及消息廣播業務等多種方式。水分采集的數據通過GSM 網全部發送到短消息業務中心,監控中心通過中繼線路DDN (Digital Data Network) 從短消息業務中心獲取數據 。
利用GSM 進行的土壤墑情監測SMS 傳輸數據的設計方法(圖5) ,系統設置以無線網絡為載體的通訊驅動控制DDC(Digital Data Converter) ,將分布在灌溉監測現場的各種相關硬件設備驅動控制器通過無線網絡進行數據交換實現無線驅動,完全實現了對區域農田墑情監測的無線操作雙向信息傳輸和灌溉驅動。

以無線網絡為載體的通訊驅動控制能掃描和監視指定設備并自動決定需要的控制功能。根據編好的應用程序要求獨立完成各系統部件的操作,并與任何指定的終端和電動執行器進行通訊和操作,并進行數據交換及雙向遠動,由于現場控制器是相對獨立的,所以提高了整個控制系統的可靠性。
現場控制器作為一個DDC 通用控制器,執行(DDC) 操作指令完成整個灌溉區域電動執行器過程驅動和直接控制,并負責對整個控制過程的工藝參數進行監視、調整,適用于大田、設施栽培環境等應用比較復雜的子系統。本系統的大部分接口設計是滿足兼容要求的。模擬量輸入(AI) 與數字量輸入(DI) 兼容,并可用多種擴展板來滿足現場控制的需要,具備擴展性和變更性。
6 用戶操作系統
在整個農田、設施土壤墑情監控系統中,系統不僅能提供區域灌溉決策數據和相對應的精量自動控制模式,還預設了常用的控制模式,用戶可以方便地選擇所需的模式。用戶在操作過程中還可根據自己的需要自由地設置控制流程,將若干灌溉組設置成一個或若干個組工作,實現農田、設施系統灌溉工作次序的任意設置,完成區域任意一灌溉組的開啟或關閉。用戶可根據設定的時序自動完成農田、設施灌溉,定時啟動預設的灌溉工作流程。在系統完成灌溉工作流程后,用戶可將自己設定的控制流程保存以備重復使用,不必每次工作前進行設定。計算機系統操作平臺工作狀態圖標與灌溉現場實時工作狀態實現跟蹤與同步。
7 結 論
利用區域農田、設施土壤墑情監測系統研究成果,采用現代精量灌溉技術和生物技術,對作物生長的必要條件進行綜合調控,為作物提供適宜的土壤水分養分條件,使作物優質高產并減少無效蒸發損失,實現農業的節水、節能和環保等目標。集成農業水資源高效利用和數字精準作業技術領域的研究成果,對具有地區代表性且規模化種植的藥用植物、果樹、花卉、大田經濟作物等實施區域化土壤墑情監測和精量灌溉技術,其節水與增產效果極其明顯。
在監測土壤墑情的同時,與種植作物需水量相結合,科學確定灌溉用水計劃。以灌區土壤墑情監測作為灌溉用水管理的主要依據,根據氣象觀測資料、土壤墑情資料、作物長勢資料等確定作物的灌溉水量及灌溉時間,及時提供用水信息,從而使農業灌溉管理更加科學、精確。
由于氣候生態環境和被灌溉區域的條件不同,相對的節水策略也應各有特點。區域農田、設施精量灌溉不僅實現了農作物規模化種植、優質與高產,還有效防止了土壤鹽堿化和板結,為保護生態環境,抗旱減災服務。隨著我國缺水地區對節水農業技術的不斷需求,區域農田土壤墑情GMS 網絡監測、灌溉決策及精量灌溉調控技術越來越受到重視,必將取代傳統的灌溉控制技術,其應用面會越來越廣,具有重要的應用價值和科學意義,同時為我國綠色農業的可持續發展提供技術支撐。
- 【中國農業儀器網】聲明部分文章轉載自其它媒體,轉載目的在于傳遞更多信息,并不代表本網贊同其觀點和對其真實性負責,且不承擔此類作品侵權行為的直接責任及連帶責任。如涉及作品內容、版權和其它問題,請在30日內與本網聯系。
- 上一篇:淺析注水肉危害及識別方法
- 下一篇:河套灌區土壤墑情、旱情監測網站的..
推薦儀器
最近更新儀器
相關技術文章









