您現在的位置:中國農業儀器網 > 技術文章 > GB 10469-89水果、蔬菜粗纖維的測定方法
GB 10469-89水果、蔬菜粗纖維的測定方法
來源: 本站 類別:技術文章 更新時間:2010-06-22 閱讀次
GB 10469-89水果、蔬菜粗纖維的測定方法
本標準參照采用國際標準ISO 5498-1981《農產食品粗纖維含量的一般測定方法》。
1 主題內容與適用范圍
本標準規定了水果、蔬菜產品中粗纖維的檢測方法。
本標準適用于水果、蔬菜產品粗纖維含量的測定。
2 引用標準
GB5009.10 食品中粗纖維的測定方法
GB 8858 水果、蔬菜產品中干物質和水分含量的測定方法
3 原理
樣品相繼與熱的稀酸、稀堿共煮,并分別經過濾分離、洗滌殘留物等操作,再進行干燥、灰化。酸可將糖、淀粉、果膠質和部分半纖維素水解而除去。堿能溶解蛋白質、部分半纖維素、木質素和皂化脂肪酸而將其除去。再用乙醇和乙醚處理。所得的殘渣干燥后減去灰分重即為粗纖維含量。
4 儀器設備
a.分析天平:感量0.0001g;
b.組織搗碎機;
c. 實驗室用粉碎機;
d.電熱板;
e.回流裝置:500ml錐形瓶及冷凝管;
f.亞麻布:適用于粗纖維含量測定;
g.布氏漏斗:直徑80mm或100mm;
h.短頸漏斗:直徑100mm或120mm;
i.抽濾瓶:容積500ml或1000ml;
j.古氏鉗鍋:容積30ml;
k.電熱鼓風干燥箱;
l.馬弗爐;
m.干燥器:用變色硅膠作干燥劑;
5 試劑
試劑純度均為分析純,所用水為蒸餾水或同等純度的水。
5.1硫酸溶液:c(1/2H2SO4,)=0.255士0.005mol /L,溶液濃度須經標定;
5.2氫氧化鈉溶液: c (NaOH)=0.313士0.005mol/ L,溶液濃度須經標定;
5.3 95%乙醇;
5.4 無水乙醚;
5.5 消泡劑:如正辛醇等;
5.6 石棉:加1:3的鹽酸溶液于石棉上并且煮沸大約45min,過濾、水洗、干燥后置550℃的馬弗爐中灼燒16小時。取出放冷后加入硫酸煮沸30分鐘,然后過濾,用蒸餾水洗凈酸。再加入氫氧化鈉煮沸30分鐘,然后過濾,用硫酸洗一次,再用水洗凈、烘干后置550℃的馬弗爐中灼燒4h。冷卻后加水成懸濁物,貯存于廣口瓶中。
6 試樣的選取和制備
6.1 易搗碎的樣品:選取有代表性的樣品,經組織搗碎機勻漿后裝入廣口瓶中備用。
6.2 不易搗碎的樣品:選取有代表性的樣品,先取樣按GB 8858測定出水分含量(B1)。同時將樣品置80℃烘箱烘干后用粉碎機粉碎,全部通過0.84mm的篩子。收集后裝入廣口瓶中備用。
6.3 經測定脂肪含量(c)后的殘渣供粗纖維含量測定用。
7 測定步驟
7.1 稱樣
7.1.1 準確稱取按第6.1條 制備的樣品約20g,置500ml錐形瓶中。
7.1.2 準確稱取按第6.2條 制備的樣品約3g,置500ml錐形瓶中。同時稱樣按GB 8858測定出水分含量(B2)。
7.1.3 準確稱取脫脂殘渣(6.3)約3g,置500ml錐形瓶中。
7.2 蒸發水分和提取脂肪
稱樣后,若水分含量高,可置80℃烘箱中蒸發掉大部分水分。若脂肪含量超過1%者,可用乙醚多次浸泡、洗滌試樣,然后傾析去掉溶劑,不能損失殘渣,最后風干多余的溶劑。
7.3 酸處理
7.3.1 加入95~100℃的硫酸溶液200ml(室溫時量取)。如果起泡較多可預先加幾滴消泡劑。裝上冷凝管,立即在電熱板上加熱至微沸(約2min),微沸30士1min。微沸過程中需搖動幾次錐形瓶,防止試樣沾在液面之上。
7.3.2 連接號抽濾裝置,迅速抽濾分離。并且用95~100℃的熱水洗滌殘渣至濾液呈中性(藍色石蕊試紙不變色)。
7.4 堿處理
7.4.1 將留有殘渣的亞麻布貼在短頸漏斗的內壁上,不要堵塞下水口。用95~100℃的氫氧化鈉溶液200ml(室溫時量取)將殘渣沖洗入原錐形瓶中。裝上冷凝管,立即在電熱板上加熱至微沸(約2min),微沸30士1min。
7.4.2 連接好抽濾裝置(鋪有石棉的古氏坩堝),迅速抽濾分離。用硫酸溶液20ml(室溫)洗滌殘渣,再用95~100℃的熱水充分洗滌后抽干,然后依次用乙醇和乙醚洗滌一次(脫脂樣品不用乙醚再洗),抽干。
7.5 干燥
將盛有殘渣的古氏坩堝置130士2℃的烘箱中干燥2h后取出,置干燥器中冷卻至室溫后稱重(A1)。
7.6 灰化
將盛有殘渣的古氏坩堝置550士25℃的馬弗爐中灰化2h,待溫度降至200℃以下時取出置干燥器中冷卻至室溫后稱重。再將古氏坩堝置馬弗爐中灰化1h。重復操作直至2次稱量差不超過0.5mg(A2)。
或者將盛有殘渣的古氏坩堝置600士15℃的馬弗爐中灰化0.5h,待溫度降至200℃以下時取出置干燥器中冷卻至室溫后稱重(A2)。
7.7 同一試樣平行做2次測定。
8 測定結果的計算公式
8.1 按第7.1.1條取樣的計算公式:
(1)
式中:A1—古氏坩堝+粗纖維+殘渣中灰分,g;
A2—古氏坩堝+殘渣中灰分,g;
W --試樣的質量,g。
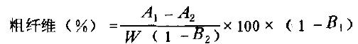
8.2 按第7.1.2條取樣的計算公式:
(2)
式中:A1—古氏坩堝+粗纖維+殘渣中灰分,g;
A2—古氏坩堝+殘渣中灰分,g;
W —試樣的質量,g。
B1—按第6.2條測定的水分含量;
B2—按第7.1.2條測定的水分含量。
8.3 按第7.1.3條取樣的計算公式:
(3)
式中:A1—古氏坩堝+粗纖維+殘渣中灰分,g;
A2—古氏坩堝+殘渣中灰分,g;
W —試樣的質量,g。
c—按第6.3條測定的脂肪含量。
9 測定結果
9.1 取兩次測定的算術平均值作為測定結果。
9.2 測定結果低于10%時,2次測定結果之差的絕對值不得超過0.4。
測定結果大于10%時,2次結果結果之差的相對值不得超過4%。
- 【中國農業儀器網】聲明部分文章轉載自其它媒體,轉載目的在于傳遞更多信息,并不代表本網贊同其觀點和對其真實性負責,且不承擔此類作品侵權行為的直接責任及連帶責任。如涉及作品內容、版權和其它問題,請在30日內與本網聯系。
- 上一篇:蘋果中粗纖維的測定方法
- 下一篇:正交設計法研究花生粗脂肪含量測定..
推薦儀器
最近更新儀器
相關技術文章









